Официальное опубликование правовых актов
ОФИЦИАЛЬНОЕ ОПУБЛИКОВАНИЕ
Приказ Министерства транспорта Российской Федерации от 07.09.2021 № 302
"Об открытии воздушного грузо-пассажирского постоянного многостороннего пункта пропуска через государственную границу Российской Федерации в международном аэропорту Махачкала (Уйташ) (Республика Дагестан) и об определении пределов данного пункта пропуска через государственную границу Российской Федерации"
(Зарегистрирован 23.12.2021 № 66508)
Номер опубликования: 0001202112230012
Дата опубликования: 23.12.2021
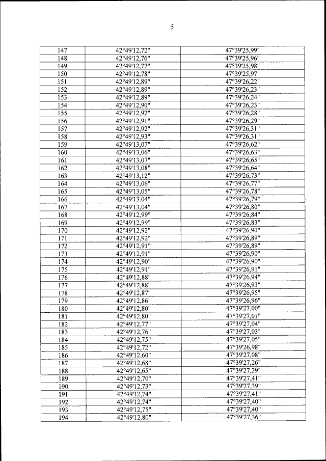
Страница №7 из 26:
Увеличить