Официальное опубликование правовых актов
ОФИЦИАЛЬНОЕ ОПУБЛИКОВАНИЕ
Приказ Федеральной антимонопольной службы от 16.12.2021 № 1429/21
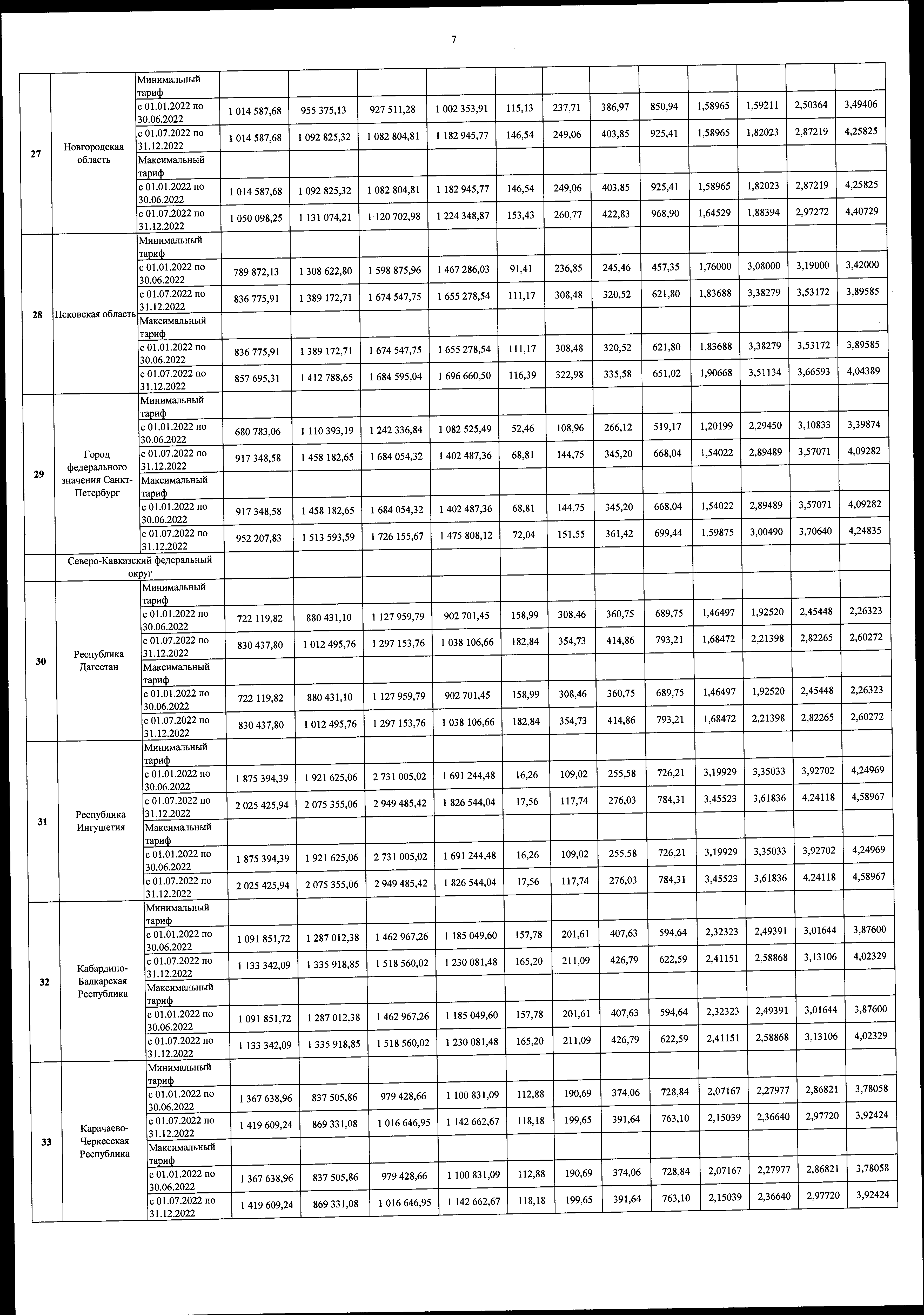
"Об утверждении предельных минимальных и максимальных уровней тарифов на услуги по передаче электрической энергии по электрическим сетям, принадлежащим на праве собственности или ином законном основании территориальным сетевым организациям, оказываемые потребителям, не относящимся к населению и приравненным к нему категориям потребителей, по субъектам Российской Федерации на 2022 год"
(Зарегистрирован 27.12.2021 № 66584)
Номер опубликования: 0001202112270013
Дата опубликования: 27.12.2021
Страница №7 из 19: