Официальное опубликование правовых актов
ОФИЦИАЛЬНОЕ ОПУБЛИКОВАНИЕ
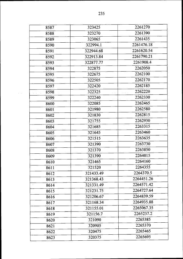
Приказ Министерства природных ресурсов и экологии Российской Федерации от 21.12.2021 № 981
"Об утверждении Положения о Кавказском государственном природном биосферном заповеднике"
(Зарегистрирован 30.12.2021 № 66711)
Номер опубликования: 0001202112300117
Дата опубликования: 30.12.2021
Страница №245 из 311:
Увеличить