Официальное опубликование правовых актов
ОФИЦИАЛЬНОЕ ОПУБЛИКОВАНИЕ
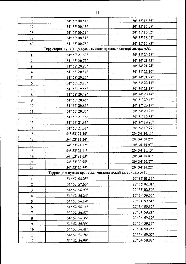
Приказ Министерства транспорта Российской Федерации от 20.12.2021 № 453
"Об утверждении пределов воздушного грузо-пассажирского постоянного многостороннего пункта пропуска через государственную границу Российской Федерации в международном аэропорту Калининград (Храброво) (Калининградская область)"
(Зарегистрирован 24.01.2022 № 66974)
Номер опубликования: 0001202201240024
Дата опубликования: 24.01.2022
Страница №12 из 13:
Увеличить