Официальное опубликование правовых актов
ОФИЦИАЛЬНОЕ ОПУБЛИКОВАНИЕ
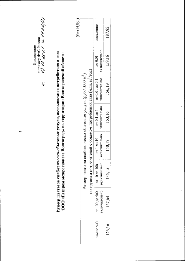
Приказ Федеральной антимонопольной службы от 17.12.2021 № 1452/21
"Об утверждении размера платы за снабженческо-сбытовые услуги, оказываемые потребителям газа ООО "Газпром межрегионгаз Волгоград" на территории Волгоградской области"
(Зарегистрирован 25.01.2022 № 67002)
Номер опубликования: 0001202201260030
Дата опубликования: 26.01.2022
Страница №3 из 3:
Увеличить