Официальное опубликование правовых актов
ОФИЦИАЛЬНОЕ ОПУБЛИКОВАНИЕ
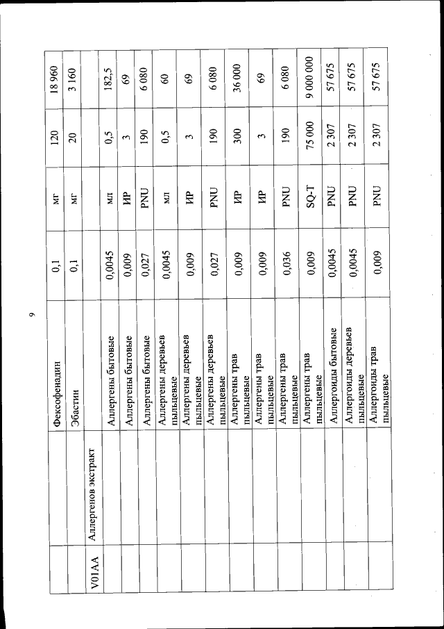
Приказ Министерства здравоохранения Российской Федерации от 20.12.2021 № 1158н
"Об утверждении стандарта медицинской помощи взрослым при аллергическом рините (диагностика и лечение)"
(Зарегистрирован 04.02.2022 № 67153)
Номер опубликования: 0001202202040041
Дата опубликования: 04.02.2022
Страница №10 из 11:
Увеличить