Официальное опубликование правовых актов
ОФИЦИАЛЬНОЕ ОПУБЛИКОВАНИЕ
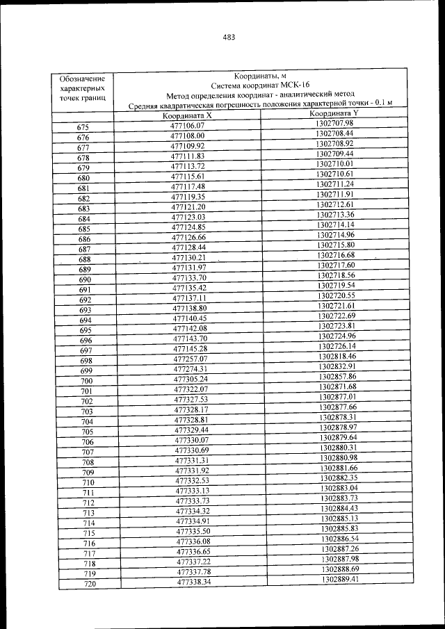
Приказ Министерства культуры Российской Федерации от 13.01.2022 № 44
"О внесении изменения в приложение № 1 к приказу Министерства культуры Российской Федерации от 28 июля 2020 г. № 845 "Об установлении границ зон охраны объекта культурного наследия федерального значения "Ансамбль Казанского кремля", ХV-первая четверть ХХ вв. (Республика Татарстан (Татарстан)), включенного в Список всемирного наследия, об утверждении требований к градостроительным регламентам в границах территорий данных зон, и о признании утратившим силу приказа Минкультуры России от 08.09.2015 № 2367"
(Зарегистрирован 25.02.2022 № 67492)
Номер опубликования: 0001202202280010
Дата опубликования: 28.02.2022
Страница №483 из 758:
Увеличить