Официальное опубликование правовых актов
ОФИЦИАЛЬНОЕ ОПУБЛИКОВАНИЕ
Приказ Министерства транспорта Российской Федерации от 10.03.2022 № 77
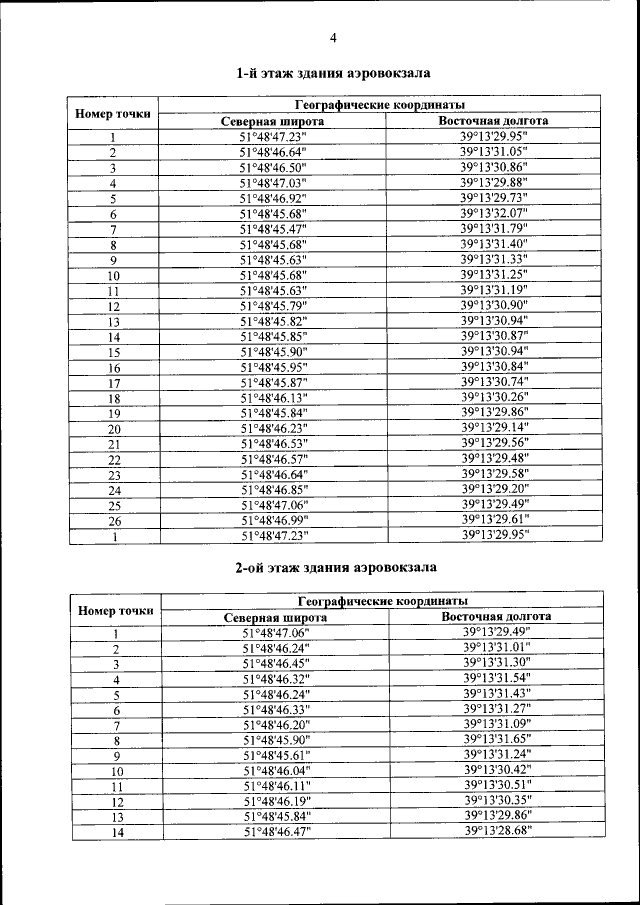
"Об открытии воздушного грузо-пассажирского постоянного многостороннего пункта пропуска через государственную границу Российской Федерации в международном аэропорту Воронеж (Чертовицкое) (Воронежская область), реконструированного в рамках 1-го этапа, и об определении пределов данного пункта пропуска через государственную границу Российской Федерации"
(Зарегистрирован 08.04.2022 № 68126)
Номер опубликования: 0001202204080012
Дата опубликования: 08.04.2022
Страница №6 из 12:
Увеличить