Официальное опубликование правовых актов
ОФИЦИАЛЬНОЕ ОПУБЛИКОВАНИЕ
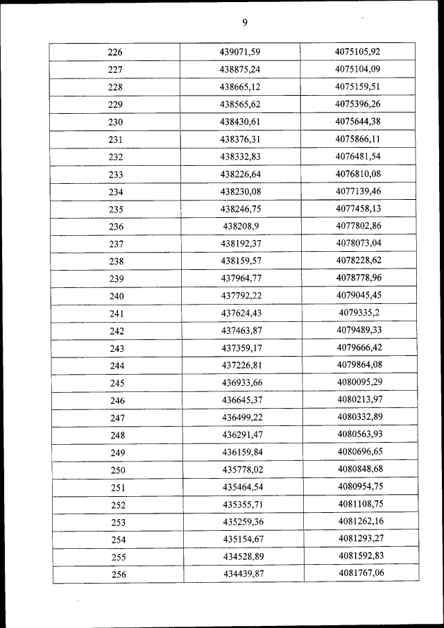
Приказ Министерства природных ресурсов и экологии Российской Федерации от 22.11.2021 № 877
"Об утверждении Положения о государственном природном биосферном заповеднике "Даурский"
(Зарегистрирован 12.05.2022 № 68458)
Номер опубликования: 0001202205120015
Дата опубликования: 12.05.2022
Страница №19 из 50:
Увеличить