Официальное опубликование правовых актов
ОФИЦИАЛЬНОЕ ОПУБЛИКОВАНИЕ
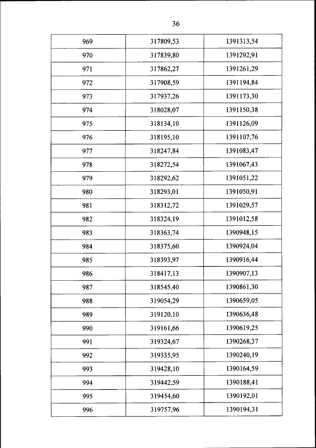
Приказ Министерства природных ресурсов и экологии Российской Федерации от 11.02.2022 № 88
"Об утверждении Положения о государственном природном заказнике федерального значения "Старокулаткинский"
(Зарегистрирован 07.06.2022 № 68760)
Номер опубликования: 0001202206070036
Дата опубликования: 07.06.2022
Страница №44 из 62:
Увеличить