Официальное опубликование правовых актов
ОФИЦИАЛЬНОЕ ОПУБЛИКОВАНИЕ
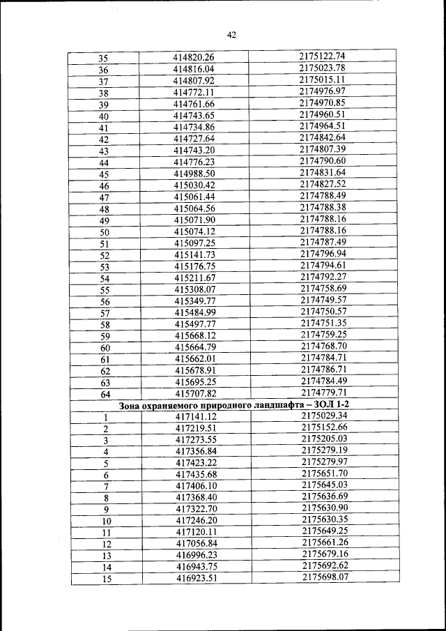
Приказ Министерства культуры Российской Федерации от 19.04.2022 № 609
"Об установлении границ зон охраны объекта культурного наследия федерального значения "Дворцово-парковый ансамбль", XVIII - XIX вв. (Ленинградская область), включенного в Список всемирного наследия, и об утверждении требований к градостроительным регламентам в границах территорий данных зон"
(Зарегистрирован 10.06.2022 № 68828)
Номер опубликования: 0001202206100014
Дата опубликования: 10.06.2022
Страница №42 из 47:
Увеличить