Официальное опубликование правовых актов
ОФИЦИАЛЬНОЕ ОПУБЛИКОВАНИЕ
Приказ Министерства транспорта Российской Федерации от 21.03.2022 № 87
"Об открытии морского грузового постоянного многостороннего пункта пропуска через государственную границу Российской Федерации в морском порту Восточный в пределах терминала ООО "Восточная Стивидорная Компания" и определении пределов данного пункта пропуска через государственную границу Российской Федерации"
(Зарегистрирован 21.06.2022 № 68932)
Номер опубликования: 0001202206210014
Дата опубликования: 21.06.2022
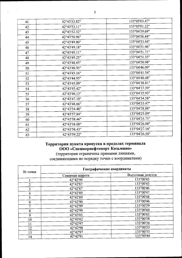
Страница №7 из 8:
Увеличить