Официальное опубликование правовых актов
ОФИЦИАЛЬНОЕ ОПУБЛИКОВАНИЕ
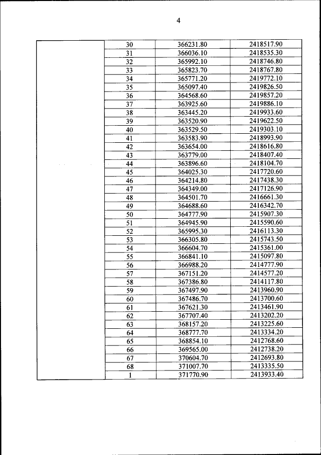
Приказ Министерства природных ресурсов и экологии Российской Федерации от 11.03.2022 № 179
"Об утверждении Положения о государственном природном заповеднике "Оренбургский"
(Зарегистрирован 05.07.2022 № 69142)
Номер опубликования: 0001202207050010
Дата опубликования: 05.07.2022
Страница №39 из 54:
Увеличить