Официальное опубликование правовых актов
ОФИЦИАЛЬНОЕ ОПУБЛИКОВАНИЕ
Приказ Министерства культуры Российской Федерации от 25.03.2022 № 394
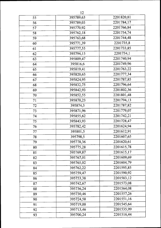
"О включении выявленных объектов культурного наследия в единый государственный реестр объектов культурного наследия (памятников истории и культуры) народов Российской Федерации в качестве объектов культурного наследия федерального значения в составе объекта культурного наследия федерального значения "Разные парковые сооружения", конец ХVIII в.‚ сер. ХIХ в.‚ входящего в состав объекта культурного наследия федерального значения "Парк "Зверинец", конец ХVIII в.‚ сер. ХIХ в. (Ленинградская область, Гатчинский муниципальный район, Гатчинское городское поселение, город Гатчина, парк "Зверинец") и утверждении границ их территории"
(Зарегистрирован 19.07.2022 № 69306)
Номер опубликования: 0001202207190010
Дата опубликования: 19.07.2022
Страница №17 из 19:
Увеличить