Официальное опубликование правовых актов
ОФИЦИАЛЬНОЕ ОПУБЛИКОВАНИЕ
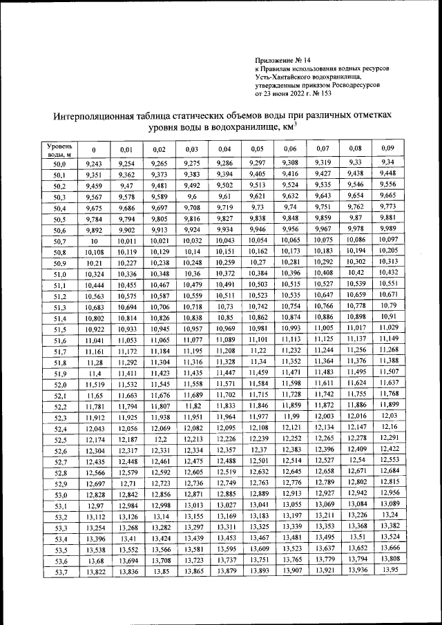
Приказ Федерального агентства водных ресурсов от 23.06.2022 № 153
"Об утверждении Правил использования водных ресурсов Усть-Хантайского водохранилища"
(Зарегистрирован 25.10.2022 № 70680)
Номер опубликования: 0001202210250035
Дата опубликования: 25.10.2022
Страница №43 из 90:
Увеличить