Официальное опубликование правовых актов
ОФИЦИАЛЬНОЕ ОПУБЛИКОВАНИЕ
Приказ Министерства транспорта Российской Федерации от 17.10.2022 № 415
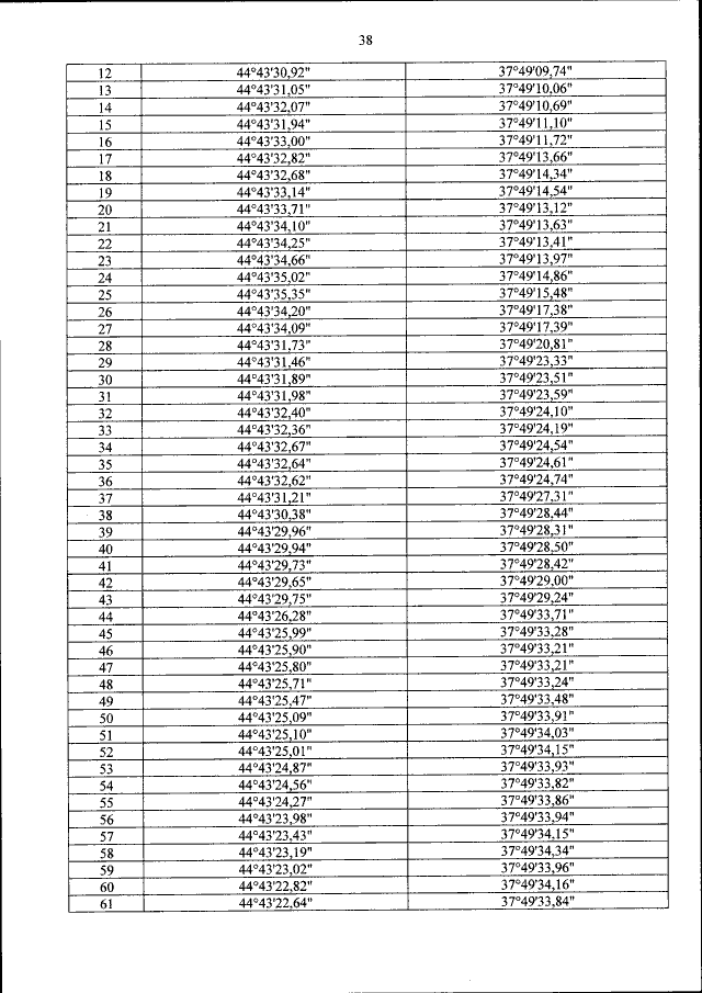
"Об утверждении пределов морского грузо-пассажирского постоянного многостороннего пункта пропуска через государственную границу Российской Федерации в морском порту Новороссийск (Краснодарский край)"
(Зарегистрирован 24.11.2022 № 71123)
Номер опубликования: 0001202211250014
Дата опубликования: 25.11.2022
Страница №39 из 50:
Увеличить