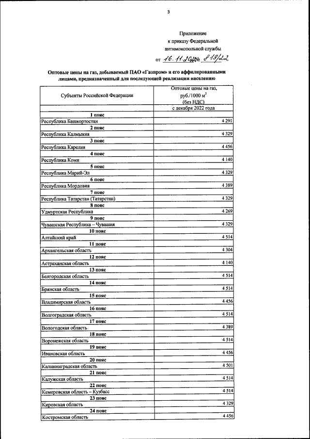
Приказ Федеральной антимонопольной службы от 16.11.2022 № 819/22
"Об утверждении оптовых цен на газ, добываемый ПАО "Газпром" и его аффилированными лицами, предназначенный для последующей реализации населению"
(Зарегистрирован 30.11.2022 № 71279)
"Об утверждении оптовых цен на газ, добываемый ПАО "Газпром" и его аффилированными лицами, предназначенный для последующей реализации населению"
(Зарегистрирован 30.11.2022 № 71279)
Номер опубликования: 0001202212010055
Дата опубликования:
01.12.2022
