Официальное опубликование правовых актов
ОФИЦИАЛЬНОЕ ОПУБЛИКОВАНИЕ
Приказ Министерства транспорта Российской Федерации от 12.01.2023 № 2
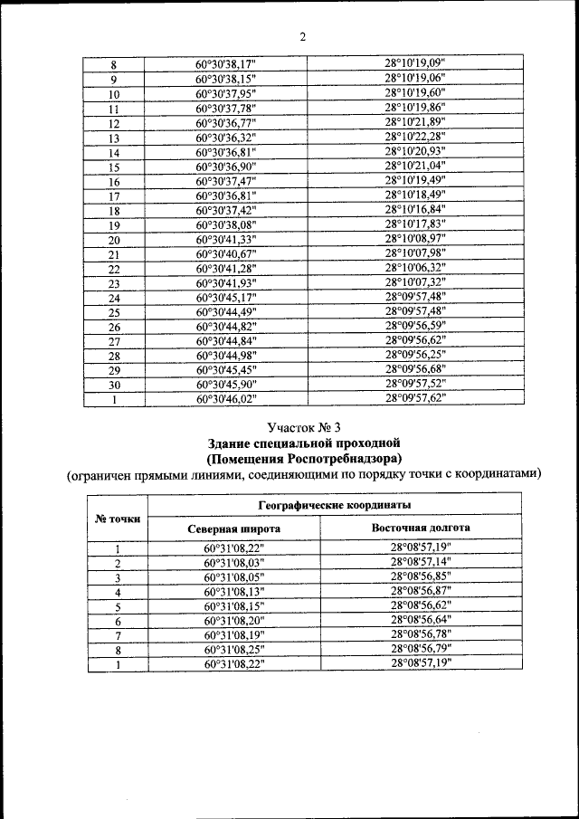
"Об открытии морского грузо-пассажирского постоянного многостороннего пункта пропуска через государственную границу Российской Федерации в морском порту Высоцк (Ленинградская область), реконструированного в пределах территории земельных участков ПАО "Газпром" (комплекс по производству, хранению и отгрузке сжиженного природного газа в районе компрессорной станции "Портовая")‚ и об определении пределов данного пункта пропуска через государственную границу Российской Федерации"
(Зарегистрирован 06.02.2023 № 72252)
Номер опубликования: 0001202302060035
Дата опубликования: 06.02.2023
Страница №4 из 7:
Увеличить