Официальное опубликование правовых актов
ОФИЦИАЛЬНОЕ ОПУБЛИКОВАНИЕ
Приказ Федеральной службы войск национальной гвардии Российской Федерации от 08.02.2023 № 21
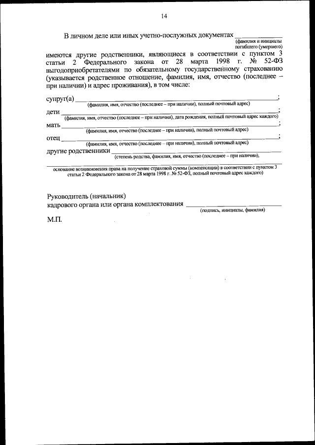
"Об утверждении Порядка организации работы по обязательному государственному страхованию жизни и здоровья военнослужащих, граждан, призванных на военные сборы, и сотрудников войск национальной гвардии Российской Федерации, а также оформлению и учету документов, необходимых для принятия решения о выплате страховой суммы (компенсации), в войсках национальной гвардии Российской Федерации"
(Зарегистрирован 15.03.2023 № 72593)
Номер опубликования: 0001202303160002
Дата опубликования: 16.03.2023
Страница №14 из 26:
Увеличить