Официальное опубликование правовых актов
ОФИЦИАЛЬНОЕ ОПУБЛИКОВАНИЕ
Приказ Министерства природных ресурсов и экологии Российской Федерации от 15.03.2023 № 124
"Об утверждении Положения о государственном природном заповеднике "Рдейский"
(Зарегистрирован 20.04.2023 № 73109)
Номер опубликования: 0001202304210006
Дата опубликования: 21.04.2023
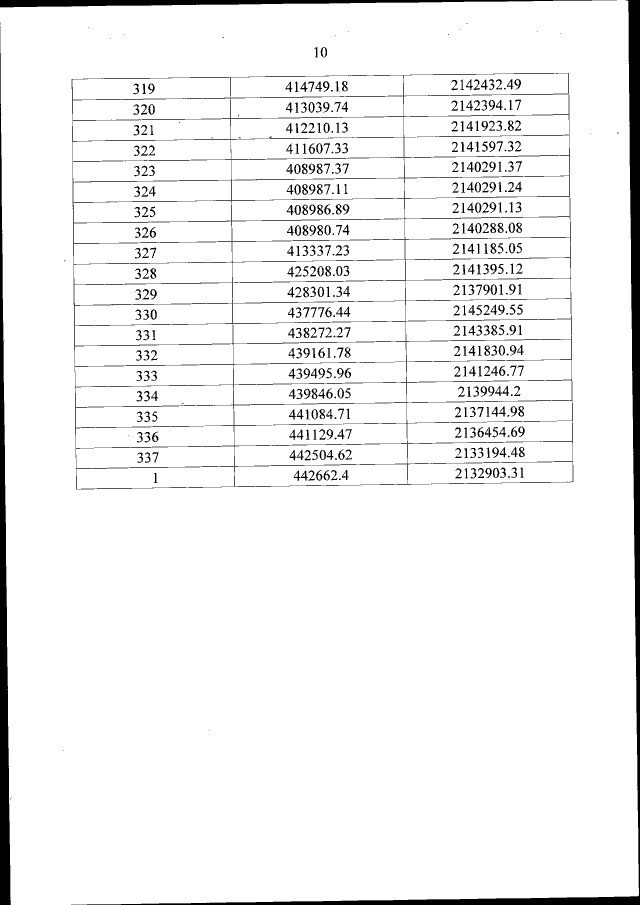
Страница №19 из 24:
Увеличить