Официальное опубликование правовых актов
ОФИЦИАЛЬНОЕ ОПУБЛИКОВАНИЕ
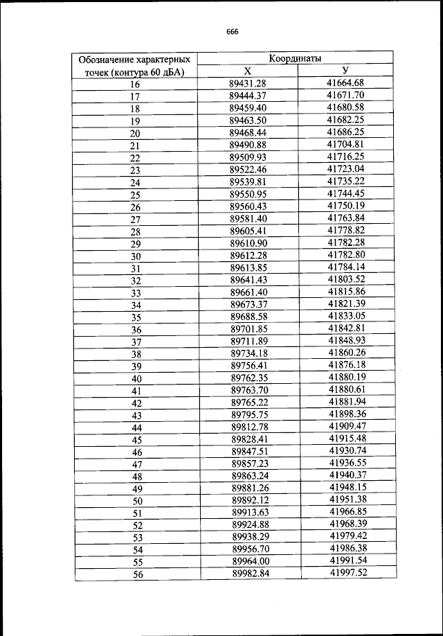
Приказ Федерального агентства воздушного транспорта от 21.03.2023 № 149-П
"Об установлении приаэродромной территории аэродрома гражданской авиации Якутск"
(Зарегистрирован 22.06.2023 № 73949)
Номер опубликования: 0001202306220023
Дата опубликования: 22.06.2023
Страница №667 из 706:
Увеличить