Официальное опубликование правовых актов
ОФИЦИАЛЬНОЕ ОПУБЛИКОВАНИЕ
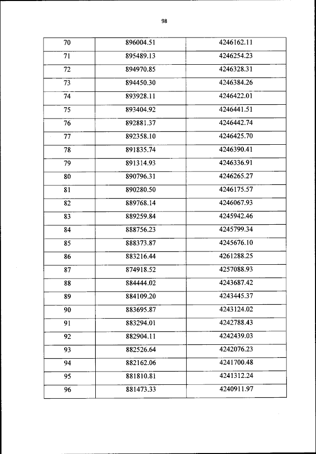
Приказ Федерального агентства воздушного транспорта от 21.03.2023 № 152-П
"Об установлении приаэродромной территории аэродрома гражданской авиации Усть-Кут"
(Зарегистрирован 24.06.2023 № 73984)
Номер опубликования: 0001202306260016
Дата опубликования: 26.06.2023
Страница №99 из 138:
Увеличить