Официальное опубликование правовых актов
ОФИЦИАЛЬНОЕ ОПУБЛИКОВАНИЕ
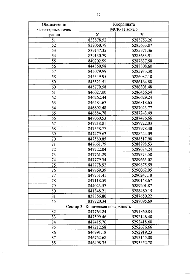
Приказ Федерального агентства воздушного транспорта от 27.03.2023 № 177-П
"Об установлении приаэродромной территории аэродрома гражданской авиации Ухта"
(Зарегистрирован 30.06.2023 № 74111)
Номер опубликования: 0001202307030019
Дата опубликования: 03.07.2023
Страница №33 из 166:
Увеличить