Официальное опубликование правовых актов
ОФИЦИАЛЬНОЕ ОПУБЛИКОВАНИЕ
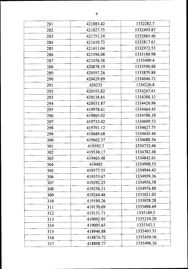
Приказ Министерства природных ресурсов и экологии Российской Федерации от 06.06.2023 № 343
"Об утверждении Положения о государственном природном биосферном заповеднике "Катунский"
(Зарегистрирован 11.07.2023 № 74215)
Номер опубликования: 0001202307110028
Дата опубликования: 11.07.2023
Страница №18 из 81:
Увеличить