Приказ Федеральной антимонопольной службы от 12.07.2023 № 454/23
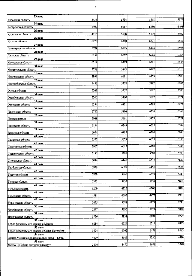
"Об утверждении оптовых цен на газ, используемых в качестве предельных минимальных и предельных максимальных уровней оптовых цен на газ, добываемый ПАО "Газпром" и его аффилированными лицами, реализуемый потребителям Российской Федерации, указанным в пункте 15.1 Основных положений формирования и государственного регулирования цен на газ, тарифов на услуги по его транспортировке, платы за технологическое присоединение газоиспользующего оборудования к газораспределительным сетям на территории Российской Федерации и платы за технологическое присоединение к магистральным газопроводам строящихся и реконструируемых газопроводов, предназначенных для транспортировки газа от магистральных газопроводов до объектов капитального строительства, и газопроводов, предназначенных для транспортировки газа от месторождений природного газа до магистрального газопровода, утвержденных постановлением Правительства Российской Федерации от 29 декабря 2000 г. № 1021"
(Зарегистрирован 14.07.2023 № 74302)
"Об утверждении оптовых цен на газ, используемых в качестве предельных минимальных и предельных максимальных уровней оптовых цен на газ, добываемый ПАО "Газпром" и его аффилированными лицами, реализуемый потребителям Российской Федерации, указанным в пункте 15.1 Основных положений формирования и государственного регулирования цен на газ, тарифов на услуги по его транспортировке, платы за технологическое присоединение газоиспользующего оборудования к газораспределительным сетям на территории Российской Федерации и платы за технологическое присоединение к магистральным газопроводам строящихся и реконструируемых газопроводов, предназначенных для транспортировки газа от магистральных газопроводов до объектов капитального строительства, и газопроводов, предназначенных для транспортировки газа от месторождений природного газа до магистрального газопровода, утвержденных постановлением Правительства Российской Федерации от 29 декабря 2000 г. № 1021"
(Зарегистрирован 14.07.2023 № 74302)
Номер опубликования: 0001202307170005
Дата опубликования:
17.07.2023
