Официальное опубликование правовых актов
ОФИЦИАЛЬНОЕ ОПУБЛИКОВАНИЕ
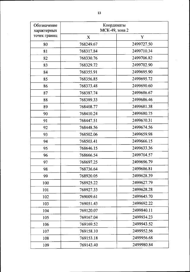
Приказ Федерального агентства воздушного транспорта от 28.06.2023 № 460-П
"Об установлении приаэродромной территории аэродрома гражданской авиации Сеймчан"
(Зарегистрирован 27.07.2023 № 74478)
Номер опубликования: 0001202307280009
Дата опубликования: 28.07.2023
Страница №14 из 68:
Увеличить