Официальное опубликование правовых актов
ОФИЦИАЛЬНОЕ ОПУБЛИКОВАНИЕ
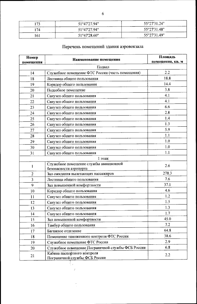
Приказ Министерства транспорта Российской Федерации от 02.08.2023 № 250
"Об утверждении пределов воздушного грузо-пассажирского постоянного многостороннего пункта пропуска через государственную границу Российской Федерации в международном аэропорту Оренбург (Центральный) (Оренбургская область)"
(Зарегистрирован 25.08.2023 № 74955)
Номер опубликования: 0001202308250020
Дата опубликования: 25.08.2023
Страница №7 из 13:
Увеличить