Официальное опубликование правовых актов
ОФИЦИАЛЬНОЕ ОПУБЛИКОВАНИЕ
Приказ Министерства культуры Российской Федерации от 05.09.2023 № 2598
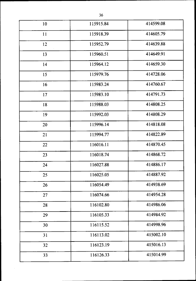
"Об утверждении границ территории объекта культурного наследия федерального значения "Стены Дербентской крепости", VI в. : "Северная стена", "Южная стена"
(Зарегистрирован 12.10.2023 № 75560)
Номер опубликования: 0001202310130009
Дата опубликования: 13.10.2023
Страница №37 из 54:
Увеличить