Официальное опубликование правовых актов
ОФИЦИАЛЬНОЕ ОПУБЛИКОВАНИЕ
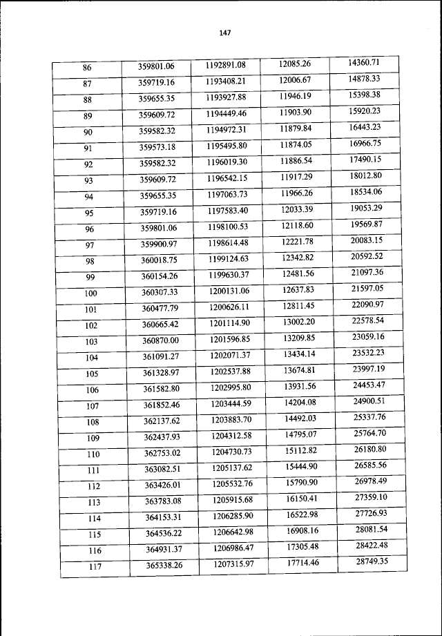
Приказ Федерального агентства воздушного транспорта от 05.07.2023 № 494-П
"Об установлении приаэродромной территории аэродрома гражданской авиации Калининград (Храброво)"
(Зарегистрирован 03.11.2023 № 75842)
Номер опубликования: 0001202311030011
Дата опубликования: 03.11.2023
Страница №148 из 172:
Увеличить