Официальное опубликование правовых актов
ОФИЦИАЛЬНОЕ ОПУБЛИКОВАНИЕ
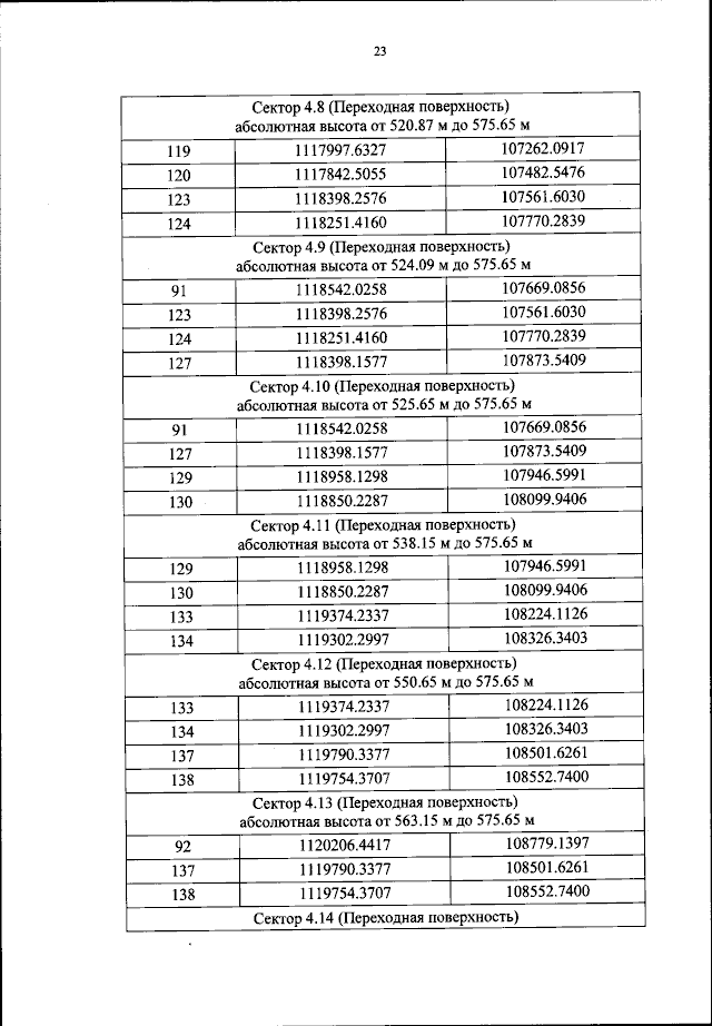
Приказ Федерального агентства воздушного транспорта от 12.10.2023 № 882-П
"Об установлении приаэродромной территории аэродрома гражданской авиации Северо-Енисейск"
(Зарегистрирован 13.11.2023 № 75932)
Номер опубликования: 0001202311140020
Дата опубликования: 14.11.2023
Страница №24 из 50:
Увеличить