Официальное опубликование правовых актов
ОФИЦИАЛЬНОЕ ОПУБЛИКОВАНИЕ
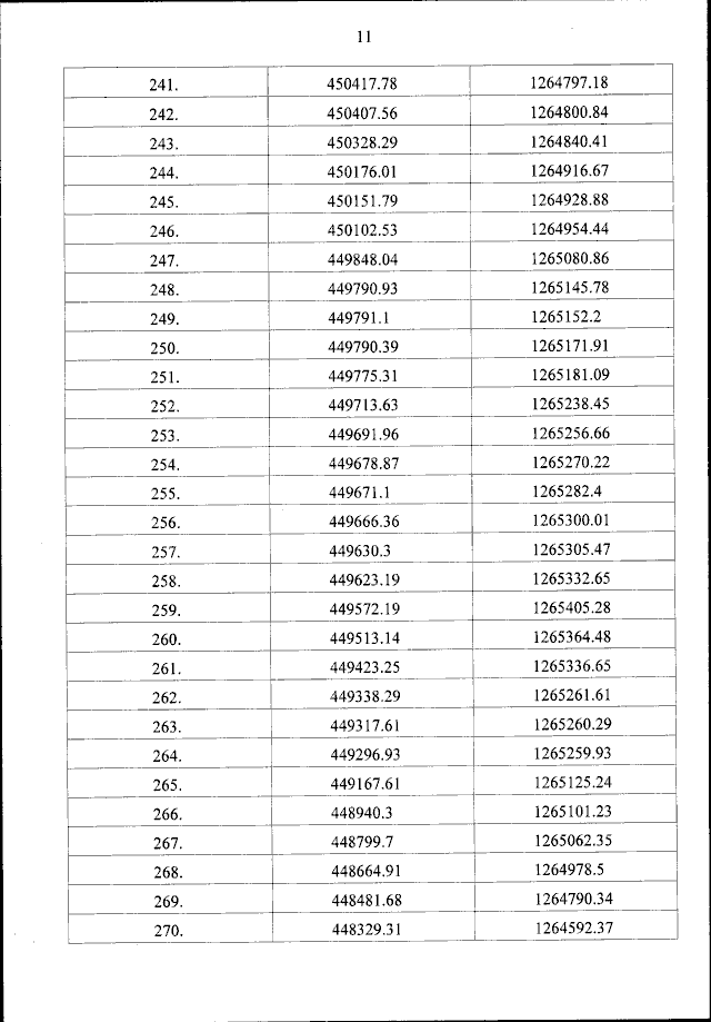
Приказ Министерства природных ресурсов и экологии Российской Федерации от 12.09.2023 № 595
"О внесении изменений в Положение о государственном природном заповеднике "Утриш", утвержденное приказом Министерства природных ресурсов и экологии Российской Федерации от 04.10.2022 № 654"
(Зарегистрирован 04.12.2023 № 76256)
Номер опубликования: 0001202312050006
Дата опубликования: 05.12.2023
Страница №12 из 27:
Увеличить