Официальное опубликование правовых актов
ОФИЦИАЛЬНОЕ ОПУБЛИКОВАНИЕ
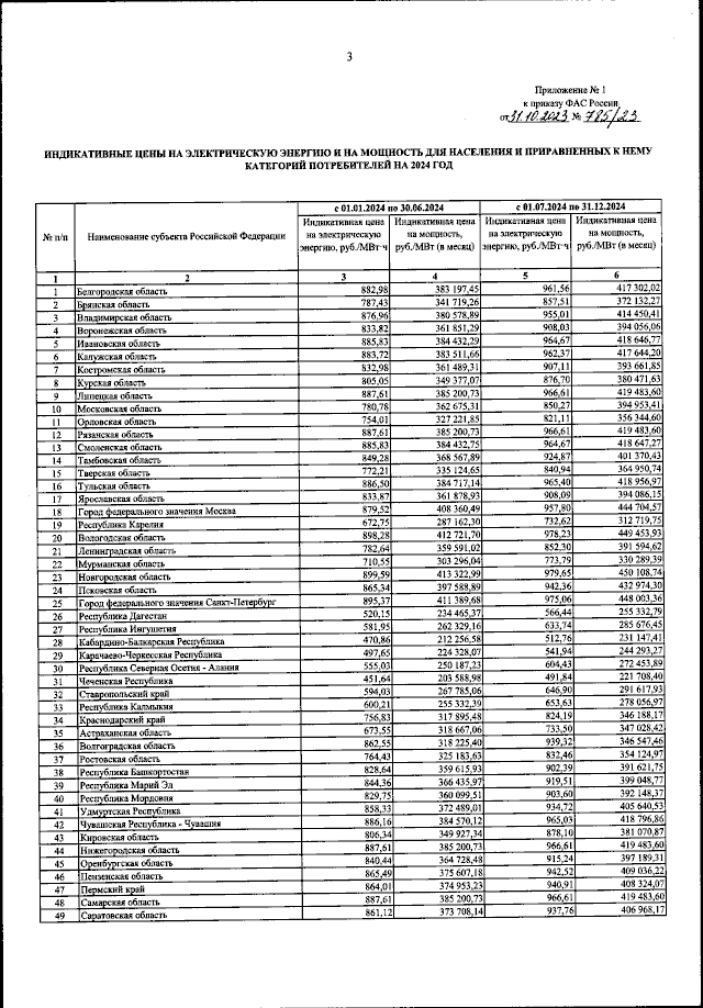
Приказ Федеральной антимонопольной службы от 31.10.2023 № 785/23
"Об утверждении индикативных цен на электрическую энергию и на мощность для населения и приравненных к нему категорий потребителей на 2024 год, а также индикативных цен на электрическую энергию и на мощность для покупателей в отдельных частях ценовых зон оптового рынка, в которых Правительством Российской Федерации установлены особенности функционирования оптового и розничных рынков, на 2024 год"
(Зарегистрирован 07.12.2023 № 76299)
Номер опубликования: 0001202312080018
Дата опубликования: 08.12.2023
Страница №3 из 5:
Увеличить