Официальное опубликование правовых актов
ОФИЦИАЛЬНОЕ ОПУБЛИКОВАНИЕ
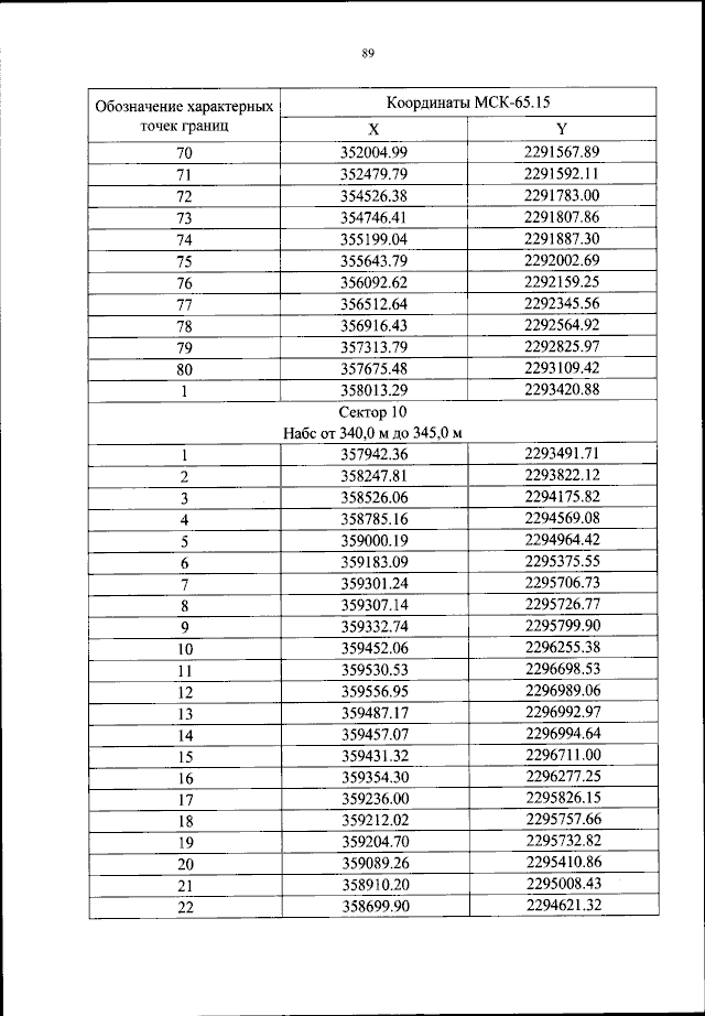
Приказ Федерального агентства воздушного транспорта от 01.11.2023 № 981-П
"Об установлении приаэродромной территории аэродрома гражданской авиации Южно-Курильск (Менделеево)"
(Зарегистрирован 07.12.2023 № 76310)
Номер опубликования: 0001202312080021
Дата опубликования: 08.12.2023
Страница №91 из 756:
Увеличить