Официальное опубликование правовых актов
ОФИЦИАЛЬНОЕ ОПУБЛИКОВАНИЕ
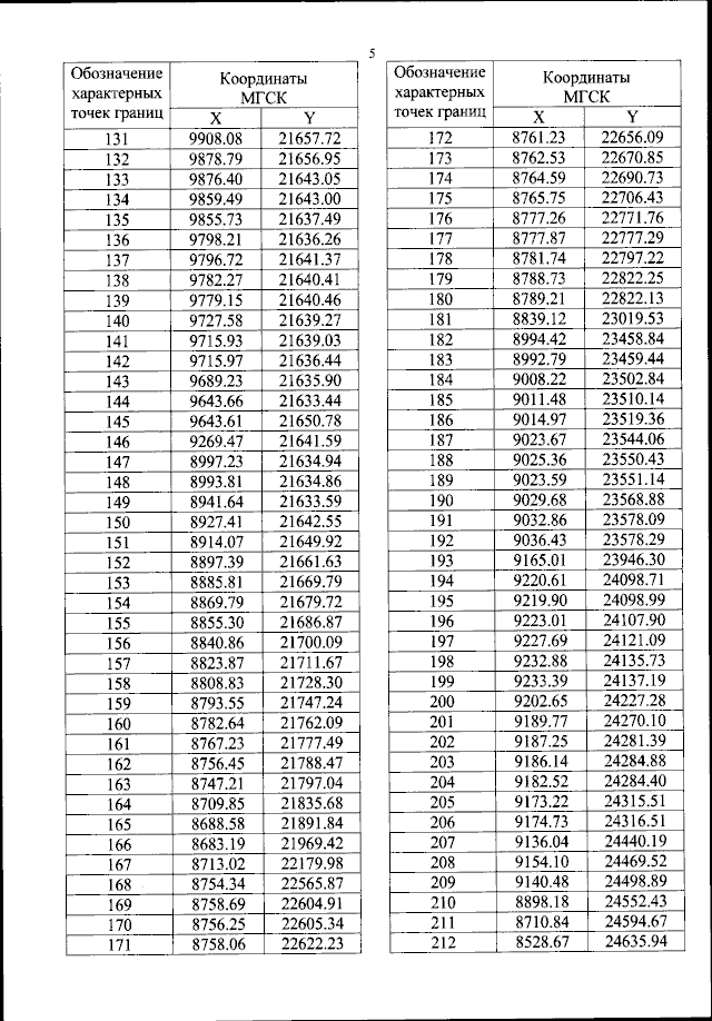
Приказ Федерального агентства воздушного транспорта от 08.11.2023 № 999-П
"Об установлении приаэродромной территории аэродрома гражданской авиации Черное"
(Зарегистрирован 08.12.2023 № 76330)
Номер опубликования: 0001202312110016
Дата опубликования: 11.12.2023
Страница №6 из 183:
Увеличить