Официальное опубликование правовых актов
ОФИЦИАЛЬНОЕ ОПУБЛИКОВАНИЕ
Приказ Министерства цифрового развития, связи и массовых коммуникаций Российской Федерации от 14.07.2023 № 633
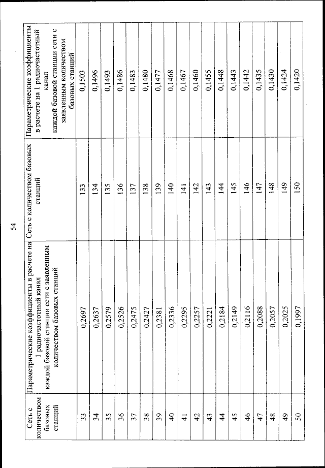
"Об утверждении Методики определения размера платы за оказание платной услуги по экспертизе возможности использования заявленных радиоэлектронных средств и их электромагнитной совместимости с действующими и планируемыми для использования радиоэлектронными средствами и Предельных размеров платы по этапам оказания платной услуги по экспертизе возможности использования заявленных радиоэлектронных средств и их электромагнитной совместимости с действующими и планируемыми для использования радиоэлектронными средствами"
(Зарегистрирован 28.12.2023 № 76709)
Номер опубликования: 0001202312280029
Дата опубликования: 28.12.2023
Страница №75 из 105:
Увеличить