Официальное опубликование правовых актов
ОФИЦИАЛЬНОЕ ОПУБЛИКОВАНИЕ
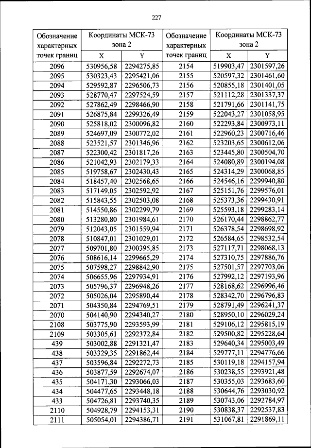
Приказ Министерства промышленности и торговли Российской Федерации от 18.10.2023 № 3943
"Об установлении приаэродромной территории аэродрома экспериментальной авиации Ульяновск (Восточный) в составе с 1 по 6 подзону"
(Зарегистрирован 25.01.2024 № 76993)
Номер опубликования: 0001202401260019
Дата опубликования: 26.01.2024
Страница №229 из 288:
Увеличить