Официальное опубликование правовых актов
ОФИЦИАЛЬНОЕ ОПУБЛИКОВАНИЕ
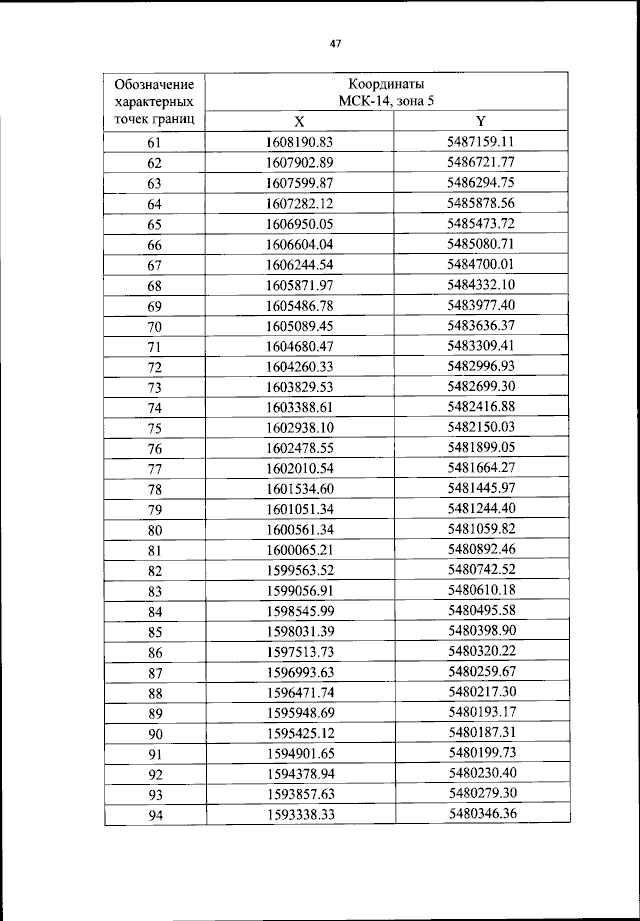
Приказ Федерального агентства воздушного транспорта от 19.01.2024 № 47-П
"Об установлении приаэродромной территории аэродрома гражданской авиации Батагай"
(Зарегистрирован 20.02.2024 № 77307)
Номер опубликования: 0001202402200004
Дата опубликования: 20.02.2024
Страница №48 из 65:
Увеличить