Официальное опубликование правовых актов
ОФИЦИАЛЬНОЕ ОПУБЛИКОВАНИЕ
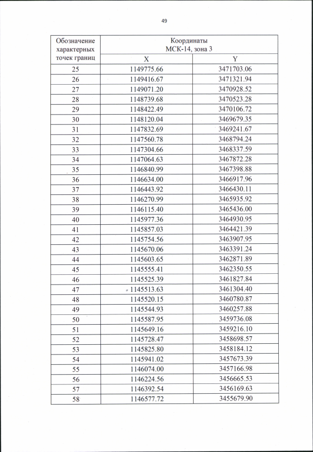
Приказ Федерального агентства воздушного транспорта от 12.02.2024 № 144-П
"Об установлении приаэродромной территории аэродрома гражданской авиации Вилюйск"
(Зарегистрирован 11.03.2024 № 77469)
Номер опубликования: 0001202403110037
Дата опубликования: 11.03.2024
Страница №50 из 72:
Увеличить