Официальное опубликование правовых актов
ОФИЦИАЛЬНОЕ ОПУБЛИКОВАНИЕ
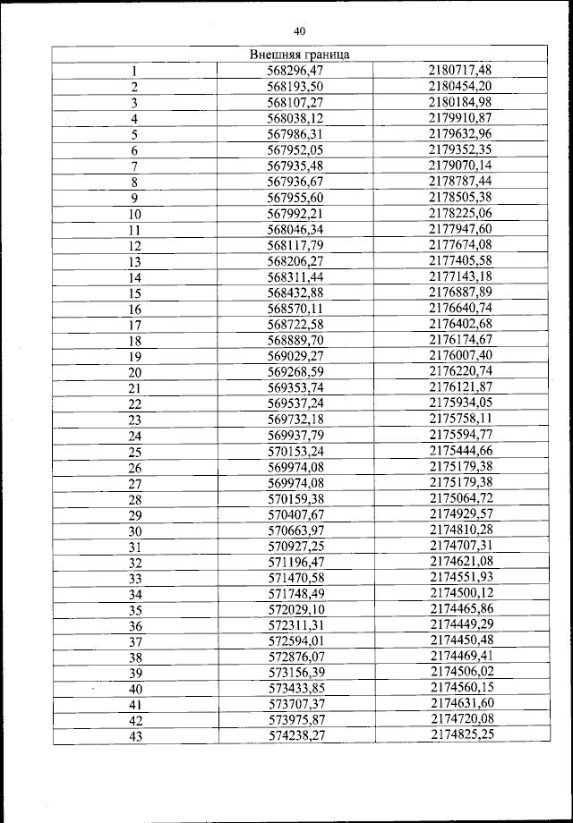
Приказ Федерального агентства воздушного транспорта от 21.02.2024 № 186-П
"Об установлении приаэродромной территории аэродрома гражданской авиации Киров (Победилово)"
(Зарегистрирован 25.03.2024 № 77625)
Номер опубликования: 0001202403260006
Дата опубликования: 26.03.2024
Страница №41 из 223:
Увеличить