Официальное опубликование правовых актов
ОФИЦИАЛЬНОЕ ОПУБЛИКОВАНИЕ
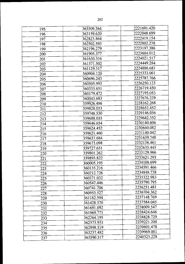
Приказ Федерального агентства воздушного транспорта от 01.03.2024 № 224-П
"Об установлении приаэродромной территории аэродрома гражданской авиации Пенза"
(Зарегистрирован 01.04.2024 № 77738)
Номер опубликования: 0001202404020013
Дата опубликования: 02.04.2024
Страница №203 из 351:
Увеличить