Официальное опубликование правовых актов
ОФИЦИАЛЬНОЕ ОПУБЛИКОВАНИЕ
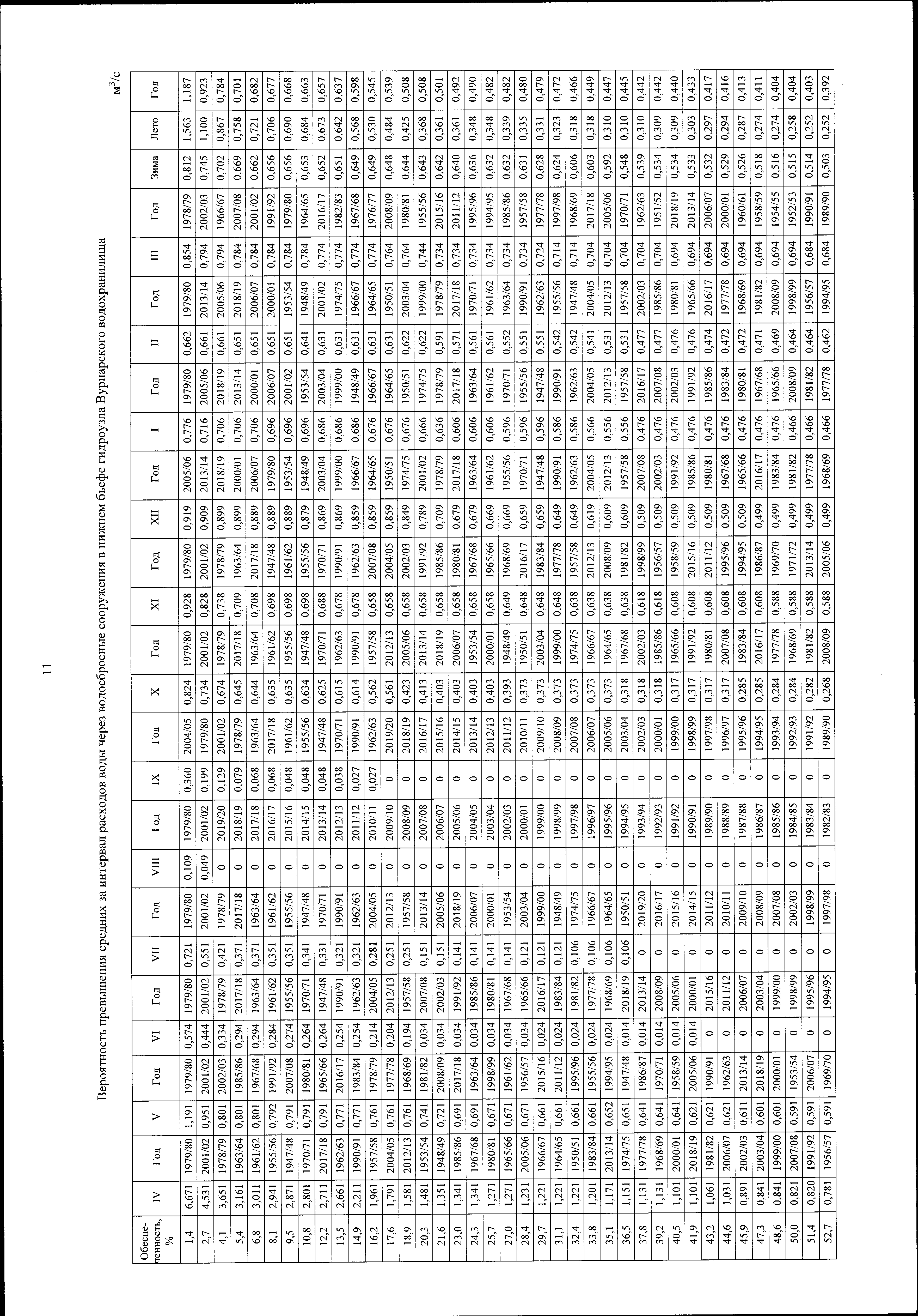
Приказ Федерального агентства водных ресурсов от 19.03.2024 № 65
"Об утверждении Правил использования водных ресурсов Вурнарского водохранилища"
(Зарегистрирован 23.04.2024 № 77972)
Номер опубликования: 0001202404240004
Дата опубликования: 24.04.2024
Страница №36 из 64: