Официальное опубликование правовых актов
ОФИЦИАЛЬНОЕ ОПУБЛИКОВАНИЕ
Приказ Федерального агентства воздушного транспорта от 25.03.2024 № 300-П
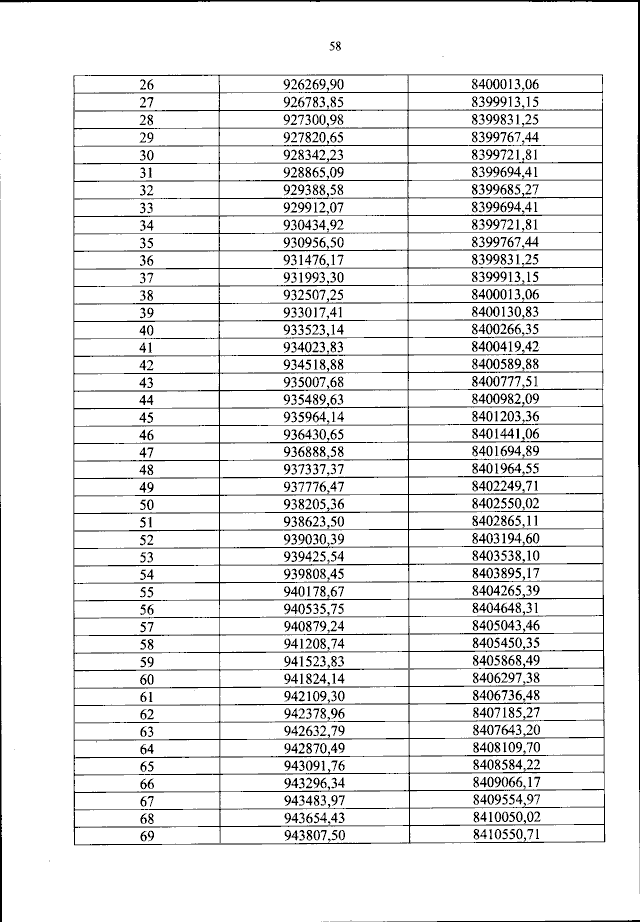
"Об установлении приаэродромной территории аэродрома гражданской авиации Провидения, бухта"
(Зарегистрирован 16.05.2024 № 78181)
Номер опубликования: 0001202405170012
Дата опубликования: 17.05.2024
Страница №59 из 88:
Увеличить