Официальное опубликование правовых актов
ОФИЦИАЛЬНОЕ ОПУБЛИКОВАНИЕ
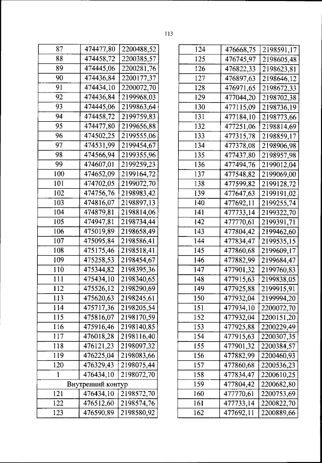
Приказ Федерального агентства воздушного транспорта от 30.05.2024 № 526-П
"Об установлении приаэродромной территории аэродрома гражданской авиации Старый Оскол"
(Зарегистрирован 04.07.2024 № 78761)
Номер опубликования: 0001202407050005
Дата опубликования: 05.07.2024
Страница №114 из 175:
Увеличить