Официальное опубликование правовых актов
ОФИЦИАЛЬНОЕ ОПУБЛИКОВАНИЕ
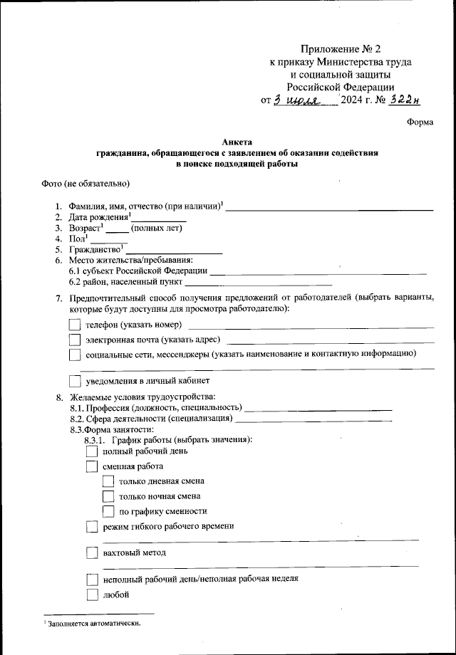
Приказ Министерства труда и социальной защиты Российской Федерации от 03.07.2024 № 322н
"Об утверждении форм документов, связанных с предоставлением гражданам мер государственной поддержки в сфере занятости населения, осуществлением полномочий в сфере занятости населения"
(Зарегистрирован 05.08.2024 № 79008)
Номер опубликования: 0001202408050014
Дата опубликования: 05.08.2024
Страница №8 из 29:
Увеличить