Официальное опубликование правовых актов
ОФИЦИАЛЬНОЕ ОПУБЛИКОВАНИЕ
Приказ Министерства просвещения Российской Федерации от 18.07.2024 № 499
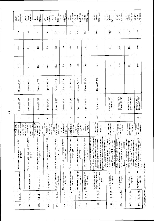
"Об утверждении федерального перечня электронных образовательных ресурсов, допущенных к использованию при реализации имеющих государственную аккредитацию образовательных программ начального общего, основного общего, среднего общего образования"
(Зарегистрирован 16.08.2024 № 79172)
Номер опубликования: 0001202408160022
Дата опубликования: 16.08.2024
Страница №25 из 172:
Увеличить