Официальное опубликование правовых актов
ОФИЦИАЛЬНОЕ ОПУБЛИКОВАНИЕ
Приказ Министерства культуры Российской Федерации от 23.05.2024 № 962
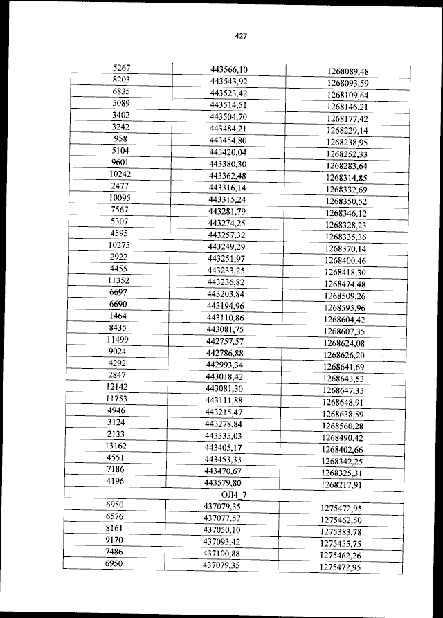
"Об утверждении границ территории объекта культурного наследия (памятника истории и культуры) народов Российской Федерации федерального значения - достопримечательное место "Бородинское поле и памятники на нем", расположенного по адресу: Московская область, Можайский городской округ, а также требований к осуществлению деятельности и градостроительному регламенту в границах территории указанного объекта культурного наследия (памятника истории и культуры) народов Российской Федерации"
(Зарегистрирован 12.09.2024 № 79447)
Номер опубликования: 0001202409130009
Дата опубликования: 13.09.2024
Страница №427 из 712:
Увеличить