Официальное опубликование правовых актов
ОФИЦИАЛЬНОЕ ОПУБЛИКОВАНИЕ
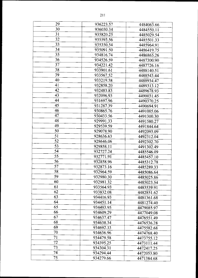
Приказ Федерального агентства воздушного транспорта от 12.08.2024 № 735-П
"Об установлении приаэродромной территории аэродрома гражданской авиации Стрежевой"
(Зарегистрирован 12.09.2024 № 79445)
Номер опубликования: 0001202409160005
Дата опубликования: 16.09.2024
Страница №212 из 252:
Увеличить