Официальное опубликование правовых актов
ОФИЦИАЛЬНОЕ ОПУБЛИКОВАНИЕ
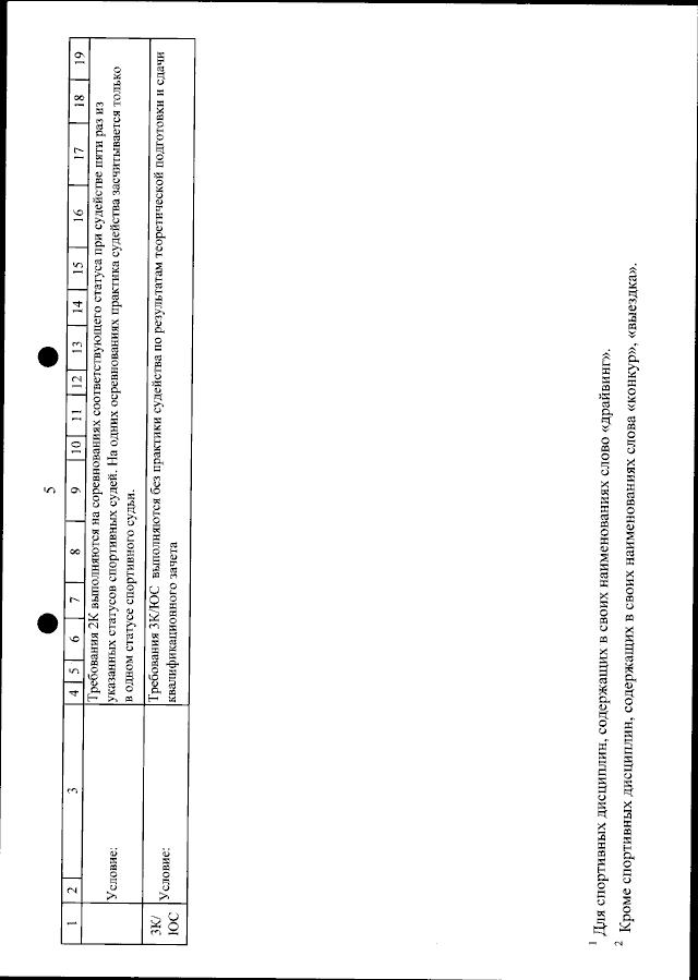
Приказ Министерства спорта Российской Федерации от 27.09.2024 № 956
"Об утверждении квалификационных требований к присвоению соответствующих квалификационных категорий спортивных судей по виду спорта "конный спорт"
(Зарегистрирован 07.11.2024 № 80049)
Номер опубликования: 0001202411070013
Дата опубликования: 07.11.2024
Страница №5 из 23:
Увеличить