Официальное опубликование правовых актов
ОФИЦИАЛЬНОЕ ОПУБЛИКОВАНИЕ
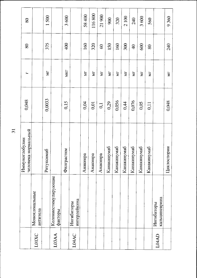
Приказ Министерства здравоохранения Российской Федерации от 10.10.2024 № 532н
"Об утверждении стандарта медицинской помощи детям при криопирин-ассоциированных периодических синдромах (диагностика и лечение)"
(Зарегистрирован 11.11.2024 № 80095)
Номер опубликования: 0001202411110013
Дата опубликования: 11.11.2024
Страница №32 из 34:
Увеличить