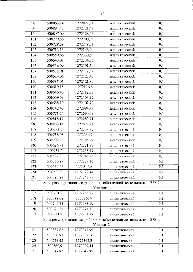
Приказ Министерства культуры Российской Федерации от 13.08.2024 № 1545
"Об утверждении границ зон охраны объекта культурного наследия федерального значения "Собор Иоанна Предтечи Ивановского монастыря", 1240 г. (г. Псков), включенного в Список всемирного наследия и отнесенного к особо ценным объектам культурного наследия народов Российской Федерации, особых режимов использования земель и требований к градостроительным регламентам в границах территорий данных зон"
(Зарегистрирован 13.11.2024 № 80144)
"Об утверждении границ зон охраны объекта культурного наследия федерального значения "Собор Иоанна Предтечи Ивановского монастыря", 1240 г. (г. Псков), включенного в Список всемирного наследия и отнесенного к особо ценным объектам культурного наследия народов Российской Федерации, особых режимов использования земель и требований к градостроительным регламентам в границах территорий данных зон"
(Зарегистрирован 13.11.2024 № 80144)
Номер опубликования: 0001202411140013
Дата опубликования:
14.11.2024
